top of page
★
GLP-1、SGLT2、DPP4のベネフィット・リスクまとめ
Assessing the benefit-risk profile of newer glucose-lowering drugs: A systematic review and network meta-analysis of randomized outcome trials. Diabetes Obes Metab. 2024 Dec 26. doi: 10.1111/dom.16147. Epub ahead of print. PMID: 39723481.
24/12/26
Diabetes Obes Metab
メタ解析, 介入試験
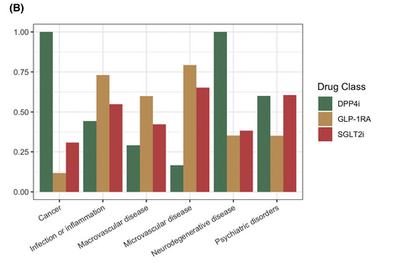
26RCT、198,177人対象ネットワークメタ解析
GLP-1RAは、
MACE低下(0.85、[0.79~0.92])
脳卒中低下(0.84 [0.77、0.91])のリスクを最も低下
甲状腺がんリスク増加(1.58 [1.36、2.50])
SGLT2iは、
HHFリスクの低減(0.68 [0.64, 0.73])
複合腎アウトカムの改善(0.67 [0.58, 0.77])
性器感染リスクを増加(3.11 [2.15, 4.50])
DPP4iは
パーキンソン病リスク低下(0.54 [0.32, 0.92])
切断リスク低下(0.70 [0.86, 0.93])
神経障害増加(1.10 [1.02, 1.18])
膵炎増加(1.63 [1.40, 1.91])
![【GLP-1、SGLT2、DPP4のベネフィット・リスクまとめ(DOM)】
26RCT、198,177人対象ネットワークメタ解析
GLP-1RAは、
MACE低下(0.85、[0.79~0.92])
脳卒中低下(0.84 [0.77、0.91])のリスクを最も低下
甲状腺がんリスク増加(1.58 [1.36、2.50])
SGLT2iは、
HHFリスクの低減(0.68 [0.64, 0.73])
複合腎アウトカムの改善(0.67 [0.58, 0.77])
性器感染リスクを増加(3.11 [2.15, 4.50])
DPP4iは
パーキンソン病リスク低下(0.54 [0.32, 0.92])
切断リスク低下(0.70 [0.86, 0.93])
神経障害増加(1.10 [1.02, 1.18])
膵炎増加(1.63 [1.40, 1.91])](https://static.wixstatic.com/media/07fc28_098070f88ef0432ca3446693d471bab1~mv2.png/v1/fit/w_509,h_264,q_90,enc_avif,quality_auto/07fc28_098070f88ef0432ca3446693d471bab1~mv2.png)
bottom of page

![【GLP-1、SGLT2、DPP4のベネフィット・リスクまとめ(DOM)】
26RCT、198,177人対象ネットワークメタ解析
GLP-1RAは、
MACE低下(0.85、[0.79~0.92])
脳卒中低下(0.84 [0.77、0.91])のリスクを最も低下
甲状腺がんリスク増加(1.58 [1.36、2.50])
SGLT2iは、
HHFリスクの低減(0.68 [0.64, 0.73])
複合腎アウトカムの改善(0.67 [0.58, 0.77])
性器感染リスクを増加(3.11 [2.15, 4.50])
DPP4iは
パーキンソン病リスク低下(0.54 [0.32, 0.92])
切断リスク低下(0.70 [0.86, 0.93])
神経障害増加(1.10 [1.02, 1.18])
膵炎増加(1.63 [1.40, 1.91])](https://static.wixstatic.com/media/07fc28_3cf1a2e897dd431c804f80e023d09417~mv2.png/v1/fit/w_401,h_264,q_90,enc_avif,quality_auto/07fc28_3cf1a2e897dd431c804f80e023d09417~mv2.png)
