top of page
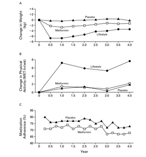
DPP(Diabetes Prevention Program)
IGTハイリスク3234人(BMI 34、51歳)
食事運動介入群 vs メトホルミン1700mg群 vs プラセボ
平均2.8年、糖尿病発症はプラセボ比較で、
食事運動介入群 -58%、メトホルミン群で-31%。
食事介入群はメトホルミンより-39%低下。

bottom of page
DPP(Diabetes Prevention Program)
IGTハイリスク3234人(BMI 34、51歳)
食事運動介入群 vs メトホルミン1700mg群 vs プラセボ
平均2.8年、糖尿病発症はプラセボ比較で、
食事運動介入群 -58%、メトホルミン群で-31%。
食事介入群はメトホルミンより-39%低下。
