top of page
★★★
血糖強化療法で細小血管合併症低下(UKPDS 33)
Intensive blood-glucose control with sulphonylureas or insulin compared with conventional treatment and risk of complications in patients with type 2 diabetes (UKPDS 33). UK Prospective Diabetes Study (UKPDS) Group. Lancet. 1998 Sep 12;352(9131):837-53.
98/9/1
Lancet
介入試験
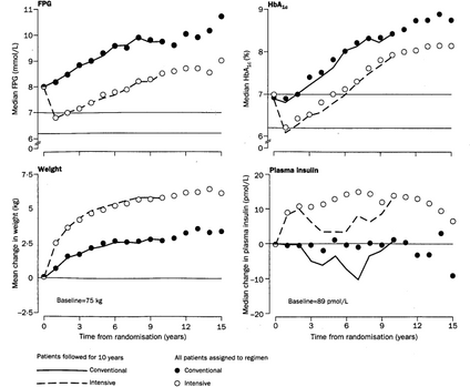
新規に診断された2型DM3867人。
集中治療群(SU orインスリン) vs 従来治療群(食事療法のみ) 10年間。
A1c 7.0% vs 7.9%。
糖尿病関連イベント -12%
糖尿病関連死 -10%
全死亡 -6%
細小血管症-25%

bottom of page


