top of page
日本人
★
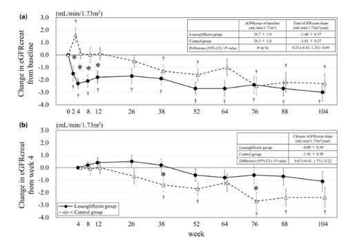
ルセフィの腎機能低下抑制効果は?
Kitada M, Toyoda M, Sekine O, et al. Efficacy of luseogliflozin for renal function preservation in patients with type 2 diabetes mellitus and impaired renal function: A randomized open-label clinical trial (RESOLUTION study). J Diabetes Investig. Published online October 9, 2025. doi:10.1111/jdi.70173
25/10/9
J Diabetes Investig
介入試験
日本、RESOLUTION試験、RCT
2型DM、中等度~重度腎機能障害(eGFR 15-45)152人
ルセオグリフロジン vs 対照群で、
ベースラインから104週までのeGFR変化は有意差なし

bottom of page
