American Diabetes Association (ADA, 米国糖尿病学会) 85th Scientific Sessions(2025/6/20-23)で発表された主要な発表内容についてまとめています。
特に注目の新規薬剤
・オルフォルグリプロン(リリー)第3相 ― 経口GLP-1(飲水食事制限なし)
・インスリンエフシトラ(リリー)第3相 ― 週1回インスリン
・カグリセマ(ノボ)第3相 ― カグリリンチド+セマグルチド
・アミクレチン(ノボ)第2相 ― アミリン+GLP-1デュアルアゴニスト
・マリタイド(アムジェン)第2相 ― 月1回GIP/GLP-1
重要な臨床試験の結果20選!!!
新規経口GLP-1オルフォルグリプロン ACHIEVE-1試験 #NEJM
週1回インスリンエフシトラ in未治療2型 QWINT-1試験 #NEJM
週1回インスリンエフシトラ vs トレシーバ in 基礎 QWINT-3試験 #Lancet
週1回インスリンエフシトラ vs グラルギン in BBT中 QWINT-4試験 #Lancet
週1回カグリセマが過体重/肥満の体重減少に有効 REDEFINE 1 試験 #NEJM
週1回カグリセマが2型DMの体重減少に有効 REDEFINE 2 試験 #NEJM
マリタイド、肥満治療に有効 #NEJM
アミクレチン(注射)第1/2相試験 #Lancet
アミクレチン(経口)第1相試験 #Lancet
1型DMへの幹細胞由来膵島「Zimislecel」臨床試験 FORWARD研究 #NEJM
2~6歳の1型DMにも「MiniMed 780G」が有効 #Lancet Diabetes Endocrinol
新規GLP-1エノグルチドの肥満への効果 #Lancet Diabetes Endocrinol
セマグルチドがPAD患者の歩行距離を 増加 STRIDE試験 #Diabetes Care
肥満1型DMへのセマグルチド ADJUST-T1D試験 #NEJM Evid
Standards of Care in Overweight and Obesity—2025
インスリン非使用2型DMのCGM利用で生活習慣改善 #論文同時発表なし
ビマグルマブ+セマグルチド、除脂肪体重を維持しつつ減量 #論文同時発表なし
吸入インスリン、小児糖尿病で安全かつ有効 #論文同時発表なし
ダイエット飲料を水に置換で減量・糖尿病寛解改善 #論文同時発表なし
ミフェプリストンが2型DM高コルチゾール症患者の血糖改善 #Diabetes Care
(本当はタイトルにリンクを貼りたかったのですが力尽きたので、下記ご参照下さい)
【1】 新規経口GLP-1オルフォルグリプロン、早期2型糖尿病への効果 ACHIEVE-1試験 #NEJM
ACHIEVE-1試験
イーライリリーの食事制限なしの新規経口GLP-1
オルフォルグリプロンの2型DMへの第3相試験
食事運動のみの2型DM559人、BMI 33
(日本人18%含むアジア44%、53歳、女性48%、DM病歴4.4年)
Orforglipron (3 mg, 12 mg, 36 mg) vs プラセボ (40週間)
HbA1c変化は
3 mg -0.83%
12 mg vs -1.06%
36 mg vs -1.07%
体重変化は
3 mg: -4.5%
12 mg: -5.8%
36 mg: -7.6%
一般的な副作用は軽度から中等度の消化器系
副作用による中止率はOrforglipron群で4.4-7.8%、プラセボ群1.4%
https://www.nejm.org/doi/full/10.1056/NEJMoa2505669
【2】 週1回インスリンエフシトラ vs グラルギン in 未治療2型DM QWINT-1試験 #NEJM
QWINT-1試験 第3相RCT
未治療2型DM795人、52週(国際多施設共同、非盲検)
56歳、女性50%、アジア1%、BMI 32、DM9.4年
週1回固定用量Efsitora vs 1日1回グラルギン
HbA1cのベースラインからの変化は、
Efsitora -1.19%、グラルギン -1.16%と非劣性
臨床的or重症低血糖の発現率は、
Efsitora 0.50件/人年 vs グラルギン 0.88件/人年とエフシトラで少ない
総インスリン投与量はEfsitoraで少ない
https://www.nejm.org/doi/full/10.1056/NEJMoa2502796
【3】週1回インスリンエフシトラ vs トレシーバ QWINT-3試験 #Lancet
QWINT-3試験
基礎インスリン治療中の2型DMを対象とした
78週第3相RCT986人
週1回Efsitora vs 1日1回Degludec
HbA1cのベースラインから26週までの変化は、
Efsitora -0.81%、Degludec -0.72%で非劣性
臨床的or重症低血糖の発現率は、
Efsitora 0.84件/人年 vs Degludec 0.74件/人年と同程度
https://www.thelancet.com/journals/lancet/article/PIIS0140-6736(25)01044-X/fulltext
【4】週1回インスリンエフシトラ vs グラルギン、強化インスリン療法中では? QWINT-4試験 #Lancet
QWINT-4試験
インスリン強化療法中(基礎+追加インスリン)の2型DM対象
(59.4歳、女性48%、アジア14%、BMI 31.8、DM16.9年
26週第3相RCT 730人
週1回Efsitora + vs 1日1回グラルギンU100
(+ 毎食時インスリンリスプロ)
HbA1cのベースラインから26週までの変化は、
Efsitora -1.01%、グラルギン -1.00%と非劣性
臨床的or 重症低血糖の発現率は同程度
https://www.thelancet.com/journals/lancet/article/PIIS0140-6736(25)01069-4/fulltext
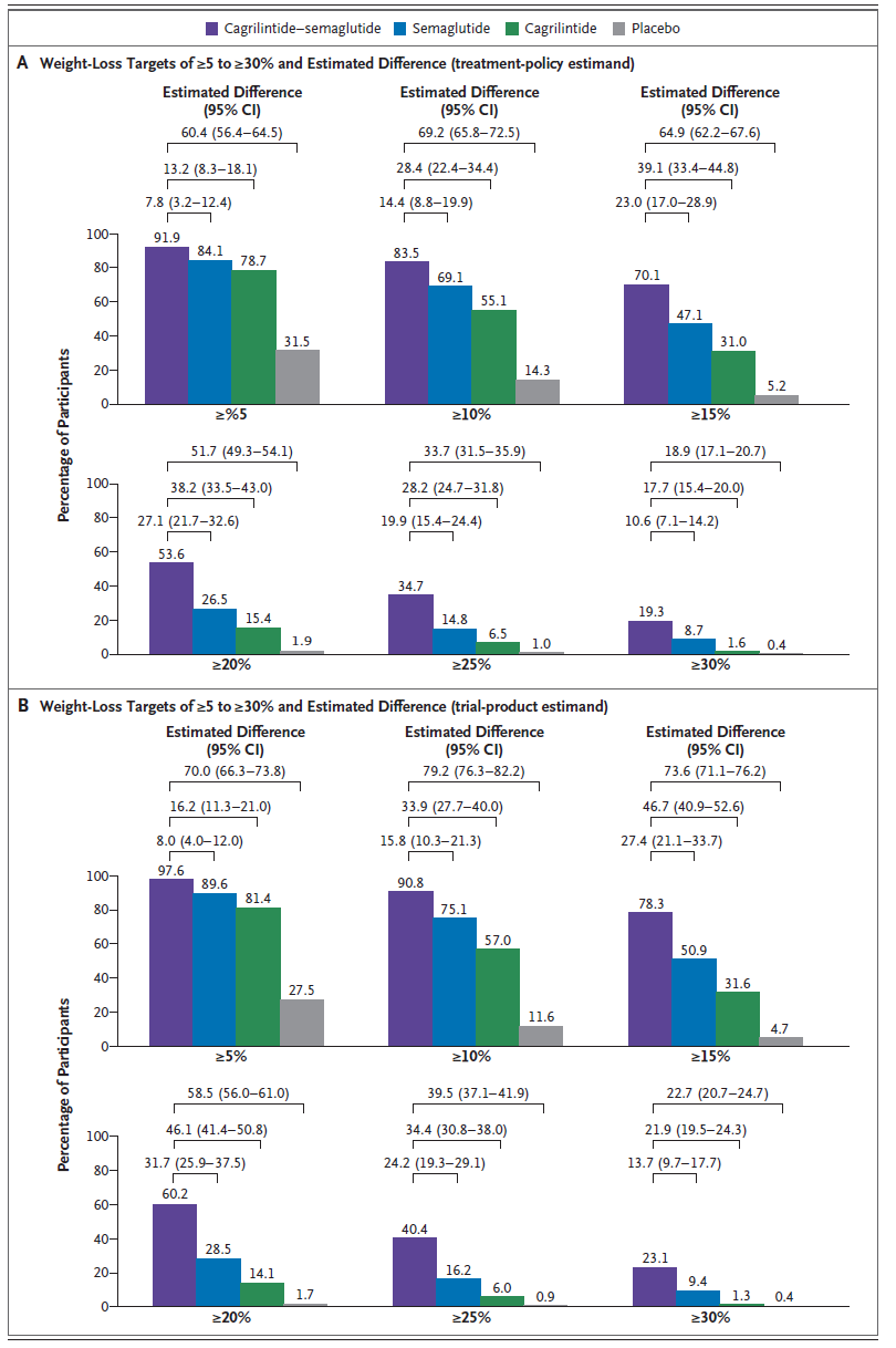
【5】週1回カグリセマが過体重/肥満の体重減少に有効 REDEFINE 1 試験 #NEJM
REDEFINE 1 試験
過体重または肥満の非DMを対象とした68週第3a相RC
二重盲検、プラセボ・実薬対照、3417人
47歳、女性67.6%、アジア19%、BMI 37.9
週1回Cagrilintide-Semaglutide(各2.4mg)
vs セマグルチド単剤(2.4mg)
vs カグリリンチド単剤(2.4mg)
vs プラセボ
(+ ライフスタイル介入)
ベースラインから68週までの推定平均体重変化は、
CagriSema -20.4% vs プラセボ -3.0%、有意にCagriSemaで体重減少。
胃腸系有害事象(悪心、嘔吐、下痢、便秘、腹痛など)はCagriSema群で多く報告されたが、大半は一過性で軽度または中等度
https://www.nejm.org/doi/full/10.1056/NEJMoa2502082
【6】週1回カグリセマが2型DMの体重減少に有効 REDEFINE 2 試験 #NEJM
REDEFINE 2 試験
過体重または肥満の2型DM成人を対象とした68週第3a相RCT
二重盲検、プラセボ対照、1206人
56歳、女性47%、アジア28%、BMI 36、A1c 8.0%、DM 8.6年
週1回CagriSema(Cagrilintide2.4mg +Semaglutide 2.4mg)
vs プラセボ (+ ライフスタイル介入)
ベースラインから68週までの推定平均体重変化は、
CagriSema -13.7% vs プラセボ -3.4% と有意
HbA1c 6.5%以下の達成割合は、
CagriSema 73.5% vs プラセボ 15.9% と有意
胃腸系有害事象はCagriSema群で多く報告されたが、大半は一過性で軽度または中等度。
https://www.nejm.org/doi/full/10.1056/NEJMoa2502082
【7】マリタイド(月1回GIP/GLP-1)、肥満治療に有効 #NEJM
月1回のGIP/GLP-1受容体作動薬マリタイド
maridebart cafraglutide(アムジェン社)
米国ほか国際共同治験 、フェーズ2二重盲検RCT
肥満と肥満2型DMの2コホート
・肥満コホート
465人(女性63%、平均年齢47.9歳、BMI 37.9)
マリタイド vs プラセボで、
52週時点の体重変化-12.3%~-16.2%と有意に減少
・肥満2型DMコホート
127人(女性42%、平均年齢55.1歳、BMI 36.5)
マリタイド vs プラセボで、
52週時点の体重変化は-8.4%~-12.3%と有意減少
HbA1cは-1.2~-1.6%減少
主な有害事象は消化器系だが、用量漸増や低用量開始で頻度は減少。
https://www.nejm.org/doi/full/10.1056/NEJMoa2504214?query=featured_home
【8】アミクレチン(注射)第1/2相試験 #Lancet
ノボノルディスクのGLP-1+アミリン受容体作動薬「アミクレチン」
・アミクレチン(週1回皮下注射): 肥満症対象
60mg36週間で-24.3%
20mg36週間で-22.0%
5mg28週間で-16.2%
1.25mg20週間で-9.7%の体重減少
治療期間終了時点でも体重減少のプラトーは観察されず。有害事象のほとんどは軽度から中等度の消化器系。
https://www.thelancet.com/journals/lancet/article/PIIS0140-6736(25)01185-7/fulltext
【9】アミクレチン(経口)第1相試験 #Lancet
ノボノルディスクのGLP-1+アミリン受容体作動薬「アミクレチン」
経口薬の第1相試験
1日1回50mg12週間で-10.4%、
1日2回50mg12週間で-13.1%の体重減少
https://www.thelancet.com/journals/lancet/article/PIIS0140-6736(25)01176-6/fulltext
【10】1型DMへの幹細胞由来膵島「Zimislecel」臨床試験 FORWARD研究 #NEJM
1型糖尿病患者を対象としたZimislecel(幹細胞由来の膵島細胞治療薬)第1/2相臨床試験(FORWARD研究)
免疫抑制薬の投与下で、門脈静脈注入膵島細胞移植
12名すべて、HbA1c <7%、TIR >70%達成、インスリン使用量減少(平均92%減少)、10名はインスリン離脱。有害事象は一般的な膵島輸注手技および既存の免疫抑制薬療法と一致
研究中に2名が死亡。1名はクリプトコックス髄膜炎、もう1名は既存の神経認知機能障害の進行?
https://www.nejm.org/doi/full/10.1056/NEJMoa2506549
【11】2~6歳の1型DMにも「MiniMed 780G」が有効 #Lancet Diabetes Endocrinol
LENNY試験
オープンラベル、多施設共同、無作為化、クロスオーバー試験
フィンランド、イタ リア、スロベニア、英国の12病院
2~6歳の1型DM98人
オートモード vs マニュアルモード期間で
TIR 68.3 vs 58.3% と有意
HbA1c 7.00 vs 7.61% と有意
重症低血糖はいずれもなし
https://www.thelancet.com/journals/landia/article/PIIS2213-8587(25)00091-9/fulltext
【12】新規GLP-1エノグルチドの肥満への効果 #Lancet Diabetes Endocrinol
新規週1回注射GLP-1製剤ecnoglutideの第3相
中国、肥満or過体重664人(18~75歳)DMなし
34歳、中国100%、BMI 33
vs プラセボで40週時点の体重変化率は、
1.2mg: -9.1%
1.8mg: -10.9%
2.4mg: -13.2%
有害事象も軽度~中程度の消化器症状で、
既存のGLP-1と同程度。
https://www.thelancet.com/journals/landia/article/PIIS2213-8587(25)00141-X/fulltext
【13】セマグルチドがPAD患者の歩行距離増加の層別解析 STRIDE試験 #Diabetes Care
STRIDE試験のサブグループ解析(RCTの事後解析)
症候性PAD+2型DM患者792人
(DM罹病期間中央値12.2年、HbA1c 7.1%、BMI 28.7)
週1回皮下セマグルチド1.0mg vs プラセボで、 最 大歩行距離(MWD)と無痛歩行距離(PFWD)が有意に改善。
この改善効果は、DM罹病期間、BMI、HbA1c、併用薬(SGLT2i、インスリン)によらず一貫
セマグルチドの歩行機能改善効果が、体重減少や血糖改善のみに依存するものではない可能性
https://www.thelancet.com/journals/lancet/article/PIIS0140-6736(25)00509-4/fulltext
【14】肥満1型DMへのセマグルチド ADJUST-T1D #NEJM Evid2025
米国、二重盲検RCT
AIDシステム使用の肥満1型糖尿病成人72人
セマグルチド1mg週1回 vs プラセボで、
HbA1c変化量: -0.3%ポイント(95%CI -0.6~-0.05)
TIR(70-180mg/dL)変化:+8.8%ポイント(95%CI 3.9~13.7)
体重変化量: -8.8kg(95%CI -10.6~-7.0)
主要複合エンドポイント達成率(上記3つ)は、
セマグルチド群で36%、プラセボ群で0%と有意にセマグルチド群で高い
両群で重症低血糖が2件ずつ発生、糖尿病性ケトアシドーシスは報告なし。
https://evidence.nejm.org/doi/full/10.1056/EVIDoa2500173
【15】Standards of Care in Overweight and Obesity—2025
5月に発表されたADA初の肥満標準ケア
過体重・肥満の方が直面する体重に関するスティグマとバイアスに対処するための包括的ガイドラインを解説
1. 医療現場での対策と推奨事項
すべての医療専門家とスタッフは、体重バイアスとスティグマに関する継続的なトレーニング受けるべき。特に医学教育の初期段階から。
2. 身体計測を行う際には、患者のプライバシーと尊厳を保護
3.「肥満の人」ではなく「肥満を持つ人」のような人優先の言葉遣い
4. 肥満を慢性疾患として認識
https://obesityassociation.org/standards-of-obesity-care
【16】インスリン非使用2型DMのCGM利用で生活習慣改善 論文同時発表なし
デンマークでの非インスリン治療2型DM、前向き。
724人が2週間のCGMを使用し、前後でアンケート調査
CGMを非常に有用と回答した者は【80%】
DM罹病期間5年未満の群は、5年以上群と比較して、
食品の影響(88% vs 78%)、
食事量の影響(80% vs 60%)、
運動の影響(65% vs 55%)に関して、
CGMからより多くの知見を得たと回答。
教育レベルとは関係なし。
3ヶ月後でも50%が行動変容を維持していると回答。
https://eppro02.ativ.me/web/page.php?page=IntHtml&project=ADA25&id=1086
【17】ビマグルマブ+セマグルチド、除脂肪体重を維持しつつ減量
肥満患者507人を対象としたBELIEVE試験
ビマグルマブ30mg/kg+セマグルチド2.4mg併用群72週
体重変化:-22.1%
ウエスト周囲径変化:-21.7 cm
体脂肪量変化:-45.7%
内臓脂肪組織変化:-58.2%
除脂肪体重変化:-2.9%
脂肪量減少の割合は92.8%であり、チルゼパチドやセマグルチド単剤よりも高い。
高感度C反応性タンパク質は-83.4%、トリグリセライドは-25.2%と低下。
有害事象は、ビマグルマブで筋肉痙攣、下痢、ニキビ、セマグルチドで吐き気、便秘、疲労。重篤な心血管イベントはなし。
【18】吸入インスリン、小児糖尿病で安全かつ有効
対象: 4歳から17歳の1型または2型糖尿病の小児・青年230人
(平均年齢12.6歳、98%が1型糖尿病)。
吸入インスリン群 vs 超速効型アナログインスリン群、26週間
全参加者は基礎インスリンとリア ルタイムCGMを使用
HbA1c: +0.14%(非劣性P=.026)
TIR(70-180mg/dL): 有意差なし(39% vs 41%; P=.38)
BMIパーセンタイル: -4.2%(P=.009)
治療満足度:吸入インスリンで高い(P=.004)
重症低血糖:2件 vs 1件
DKA:0件 vs 1件
吸入インスリン群の17%が吸入時の咳を報告したが、軽度
【19】ダイエット飲料を水に置換で減量・糖尿病寛解改善
過体重または肥満の2型糖尿病女性81人
18ヶ月のRCT
昼食時のダイエット飲料を水に置き換えた群と、週5回のダイエット飲料を継続した群で比
水置換群 vs ダイエット飲料継続群で
体重減少: 6.82 kg 減少 vs 4.85 kg 減少 (P < .001)
糖尿病寛解率: 90% vs 45% (P < .0001)
ダイエット飲料を水に置き換えることは、より大きな体重減少と高い糖尿病寛解率につながる。
【20】ミフェプリストンが2型DM高コルチゾール症患者の血糖改善 #Diabetes Care
CATALYST試験
治療困難な2型糖尿病と高コルチゾール症を合併する患者136人を対象としたランダム化試験
ミフェプリストン(コルチコステロイド受容体拮抗薬) vs プラセボ
結果(24週時点):
ミフェプリストン群 vs プラセボ群
HbA1c -1.47% vs -0.15%ポイント
体重 -4.4 kg vs +0.72 kg
BMI、腹囲もミフェプリストン群で有意な改善。
ミフェプリストン群で血圧上昇(収縮期血圧 +8 mmHg)、治療中止率が高い(ミフェプリストン群46% vs プラセボ群18%)。
もし間違いに気づかれた方は、
右下のチャットボックスもしくはX (旧Twitter)に
コメントいただけると大変助かります!





























































